·
›
•
·•
›•
•

産品簡(jian)介
IHE系列化(hua)工流程泵(beng)是單級單(dan)吸懸臂式(shi)離心泵,其(qi)标{己💕性能(neng)和尺寸符(fu)合GB5662-85《軸向吸(xi)入離心泵(beng)(16bar)标id、性能和(he)尺寸》,等同(tong)采用IS02858-1984标👯🏾♂️準(zhun)。制造技術(shu)采用IS0S199-86.IHE系列(lie)化工流程(cheng)泵,化工流(liu)程泵,化工(gong)流程泵設(she)備廣泛用(yong)于化工。化(hua)肥。電力。冶(ye)金。造紙。制(zhi)藥、台成纖(xian)維等行業(ye),在磷複肥(fei)行業中主(zhu)要應用于(yu)循環水、給(gei)料🏃🏿♀️➡️泵、污水(shui)泵、母液泵(beng)、硫酸泵等(deng)工位,輸送(song)不舍顆粒(li)的腐蝕性(xing)~介質,或🔞不(bu)允許有污(wu)染的介質(zhi)
性能範圍(wei)
流量3 4~460mVh
溫度(du):-30℃ - 150℃,特殊可達(da)180℃
揚程:3.6~132m
設計(ji)壓力:1.6Mpa
型号(hao)說明

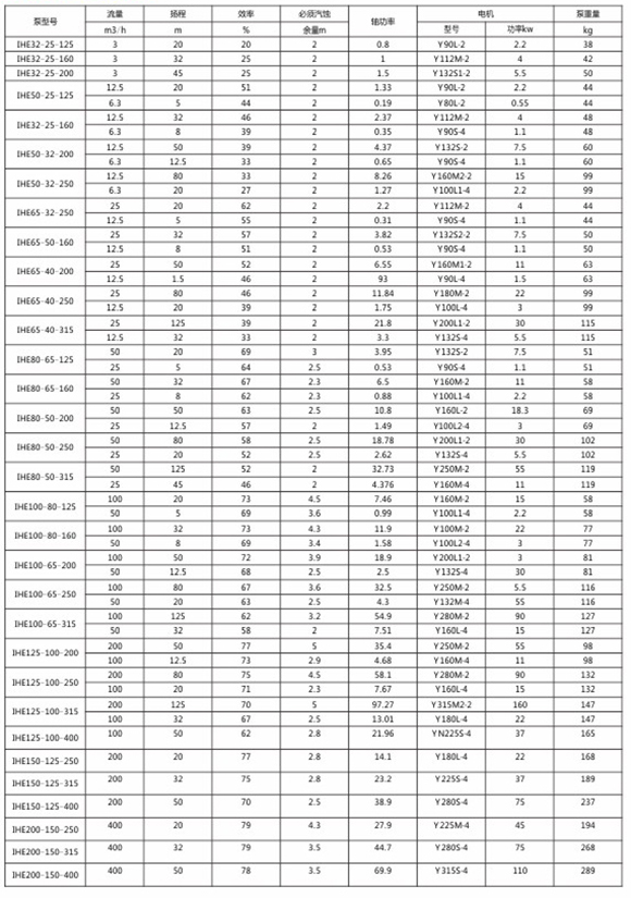
IHE系列(lie)參數表

IHE結(jie)構特點

(1)泵(beng)體;(2)葉輪螺(luo)母;(3)葉輪件(jian);(4)泵蓋;(5)密封(feng)部件;(6)中間(jian)支架;(7)軸;(8)懸(xuan)架部件
IHE泵(beng)軸加粗,剛(gang)性好,運行(hang)平穩;
采用(yong)後拉式結(jie)構,帶中間(jian)節膜片聯(lian)軸器,維修(xiu)時不用拆(chai)😥卸泵體,電(dian)機,管線;
軸(zhou)封可選用(yong)填料密封(feng),内裝及外(wai)裝式單端(duan)面機械密(mi)封雙端面(mian)機械密;
新(xin)安裝的管(guan)線應沖洗(xi)幹淨,如介(jie)質易結晶(jing),要定期沖(chong)洗機械密(mi)封;
停車後(hou)和重新啟(qi)動前部應(ying)将密封面(mian)沖洗幹淨(jing)。
過流部件(jian)材質
過流(liu)部件材質(zhi)ifiCr18Ni9Ti、C4、304、304L. M02Ti、904(U86)、20#台金、CD4MCu等材(cai)料,軸it2205、316L、304等材(cai)質。
•
·•
••
›